Мощные DC/DC-преобразователи являются важной составляющей большого
количества электронных устройств, к которым относятся:
- Системы промышленной автоматики;
- Приборы телекоммуникационных систем;
- Приборы систем безопасности;
- Приборы автомобильной техники.
Поскольку спектр решаемых задач достаточно широк, универсальные DC/DC-модули
питания должны соответствовать ряду требований к электрическим и
климатическим параметрам:
- Высокое значение КПД;
- Широкий диапазон рабочих температур;
- Высокое среднее время наработки на отказ;
- Электрическая прочность изоляции вход-выход не
менее 1,5 кВ постоянного тока.
Универсальные DC/DC-преобразователи серий PK20VG, P30WG, PH30YG,
PH40XG, PH40ZG, PH60ZG, PH75ZG соответствуют перечисленным требованиям и
имеют ряд свойств, которые позволяют реализовать систему питания прибора
эффективно и просто.
ОБЗОР СЕРИЙ 20...75 ВТ
Мощные DC/DC-преобразователи PEAK в диапазоне мощностей от 20 до 75 Вт
выпускаются в металлических корпусах для монтажа на печатную плату
(рис. 1) с одним, двумя или тремя выходами.

Рис. 1. Внешний
вид мощных модулей питания PEAK: а)
PK20VG-1212E2:1LF (20 Вт); б) PH40XG-1212E2:1H30LF (40 Вт); в)
PH75ZG-2424E2:1H30LF (75 Вт)
Номиналы выходного напряжения стандартные: 3,3; 5, 12 или 15 В. Модули
выпускаются либо с «широким» диапазоном 2:1 входных напряжений 9...18,
18...36, 36...72, либо с «ультрашироким» диапазоном 9...36, 18...72 В.
Высокое значение КПД от 78 до 90% позволяет применять модули без внешней
системы отвода тепла в диапазоне температур окружающего воздуха от -40
до 71°С для серий PH30YG, PH40XG, PH40ZG, PH60ZG, PH75ZG или от -40 до
50°С для серий PK20VG, P30WG. Если температура корпуса модуля превышает
допустимое значение, выходная мощность уменьшается автоматически, и
далее модуль выключается (кроме серий PK20VG, P30WG). Преобразователи
PH30YG, PH40XG, PH40ZG, PH60ZG, PH75ZG выпускаются с различными
вариантами электрической прочности изоляции вход-выход: 1,5; 1,6 или
3 кВ постоянного тока.
Основные технические параметры и
свойства преобразователей:
- Диапазон
входных напряжений: 9...18, 18...36, 36...72, 9...36, 36...72В;
- КПД :
78...90%;
- Пульсации
выходного напряжения: 80...240мВ;
- Диапазон
подстройки выходного напряжения: ±10% от номинального значения выходного
напряжения;
- Электрическая
прочность изоляции: 1,5; 1,6 или 3кВ постоянного тока в зависимости от
модели;
- Диапазон
рабочих температур: -40...71° или -40...50°С в зависимости от модели;
- Среднее время
наработки на отказ: 300000...800000 часов;
- Комплекс
защит: от короткого замыкания, перегрузки, превышения выходного
напряжения, перегрева (кроме серий PK20VG, P30WG);
- Подстройка
выходного напряжения (кроме серии PK20VG);
- Выносная
обратная связь;
- Дистанционное
включение/выключение;
- Плавный
запуск.
Для удобства выбора в таблице 1 приведены варианты моделей DC/DC-преобразователей.
Таблица 1. Варианты
моделей DC/DC-преобразователей мощностью от 20 до 75 Вт
|
Наименование |
Диапазон
Uвх, В (Uвх.ном, В) |
Uвых, В |
Iвых, мА |
|
|
DC/DC-преобразователи
мощностью 20 Вт в корпусе 1”x1” |
|
|
PK20VG-xx3R3E2:1LF |
9...18 (12), 18...36 (24), 36...72 (48) |
3,3 |
4500 |
 |
|
PK20VG-xx05E2:1LF |
9...18 (12), 18...36 (24), 36...72 (48) |
5 |
4000 |
|
PK20VG-xx12E2:1LF |
9...18 (12), 18...36 (24), 36...72 (48) |
12 |
1660 |
|
PK20VG-xx15E2:1LF |
9...18 (12), 18...36 (24), 36...72 (48) |
15 |
1330 |
|
DC/DC-преобразователи
мощностью 30 Вт в корпусе 2”x1” |
 |
|
P30WG-xx3R3E4:1LF |
9...36 (24), 18...72 (48) |
3,3 |
7500 |
|
P30WG-xx05E4:1LF |
9...36 (24), 18...72 (48) |
5 |
6000 |
|
P30WG-xx5R1E4:1LF |
9...36 (24), 18...72 (48) |
5,1 |
6000 |
|
P30WG-xx12E4:1LF |
9...36 (24), 18...72 (48) |
12 |
2500 |
|
P30WG-xx15E4:1LF |
9...36 (24), 18...72 (48) |
15 |
2000 |
|
P30WG-xx05Z4:1LF |
9...36 (24), 18...72 (48) |
±5 |
±3000 |
|
P30WG-xx12Z4:1LF |
9...36 (24), 18...72 (48) |
±12 |
±1250 |
|
P30WG-xx15Z4:1LF |
9...36 (24), 18...72 (48) |
±15 |
±1000 |
|
DC/DC-преобразователи
мощностью 20...30 Вт в корпусе 2”x1,6” |
|
|
PH20YG-xx3R3E4:1cLF* |
9...36 (24), 18...72 (48) |
3,3 |
6000 |
|
|
PH30YG-xx05E4:1cLF |
9...36 (24), 18...72 (48) |
5 |
6000 |
 |
|
PH30YG-xx12E4:1cLF |
9...36 (24), 18...72 (48) |
12 |
2500 |
|
PH30YG-xx15E4:1cLF |
9...36 (24), 18...72 (48) |
15 |
2000 |
|
PH30YG-xx24E4:1cLF |
9...36 (24), 18...72 (48) |
24 |
1250 |
|
PH30YG-xx05Z4:1cLF |
9...36 (24), 18...72 (48) |
±5 |
±3000 |
|
PH30YG-xx12Z4:1cLF |
9...36 (24), 18...72 (48) |
±12 |
±1250 |
|
PH30YG-xx15Z4:1cLF |
9...36 (24), 18...72 (48) |
±15 |
±1000 |
|
DC/DC-преобразователи
мощностью 26...40 Вт в корпусе 2”x2” |
|
|
PH26XG-xx3R3E2:1cLF |
9...18 (12), 18...36 (24), 36...72 (48) |
3,3 |
8000 |
|
|
PH40XG-xx05E2:1cLF |
9...18 (12), 18...36 (24), 36...72 (48) |
5 |
8000 |
 |
|
PH40XG-xx12E2:1cLF |
9...18 (12), 18...36 (24), 36...72 (48) |
12 |
3300 |
|
PH40XG-xx15E2:1cLF |
9...18 (12), 18...36 (24), 36...72 (48) |
15 |
2600 |
|
PH40XG-xx24E2:1cLF |
9...18 (12), 18...36 (24), 36...72 (48) |
24 |
1600 |
|
PH40XG-xx05Z2:1cLF |
9...18 (12), 18...36 (24), 36...72 (48) |
±5 |
±4000 |
|
PH40XG-xx12Z2:1cLF |
9...18 (12), 18...36 (24), 36...72 (48) |
±12 |
±1600 |
|
PH40XG-xx15Z2:1cLF |
9...18 (12), 18...36 (24), 36...72 (48) |
±15 |
±1300 |
|
DC/DC-преобразователи
мощностью 33...75 Вт в корпусе 3”x2,6” |
|
|
PH33ZG-xx3R3E2:1cLF |
9...18 (12), 18...36 (24), 36...72 (48) |
3,3 |
10000 |
 |
|
PH40ZG-xx05E2:1cLF |
9...18 (12), 18...36 (24), 36...72 (48) |
5 |
8000 |
|
PH60ZG-xx12E2:1cLF |
9...18 (12), 18...36 (24), 36...72 (48) |
12 |
5000 |
|
PH60ZG-xx15E2:1cLF |
9...18 (12), 18...36 (24), 36...72 (48) |
15 |
4000 |
|
PH60ZG-xx24E2:1cLF |
9...18 (12), 18...36 (24), 36...72 (48) |
24 |
2500 |
|
PH75ZG-xx12E2:1cLF |
9...18 (12), 18...36 (24), 36...72 (48) |
12 |
6250 |
|
PH75ZG-xx15E2:1cLF |
9...18 (12), 18...36 (24), 36...72 (48) |
15 |
5000 |
|
PH75ZG-xx24E2:1cLF |
9...18 (12), 18...36 (24), 36...72 (48) |
24 |
3125 |
|
PH40ZG-xx05Z2:1cLF |
9...18 (12), 18...36 (24), 36...72 (48) |
±5 |
±4000 |
|
PH60ZG-xx12Z2:1cLF |
9...18 (12), 18...36 (24), 36...72 (48) |
±12 |
±2500 |
|
PH60ZG-xx15Z2:1cLF |
9...18 (12), 18...36 (24), 36...72 (48) |
±15 |
±2000 |
|
PH75ZG-xx12Z2:1cLF |
9...18 (12), 18...36 (24), 36...72 (48) |
±12 |
±3125 |
|
PH75ZG-xx15Z2:1cLF |
9...18 (12), 18...36 (24), 36...72 (48) |
±15 |
±2500 |
|
* Вместо «с» может подставляться суффикс H30,
обозначающий электрическую прочность изоляции вход-выход 3 кВ
постоянного тока. |
|
Вместо «с» может подставляться суффикс H30, обозначающий электрическую
прочность изоляции вход-выход 3 кВ постоянного тока.
РЕКОМЕНДАЦИИ ПО ПРИМЕНЕНИЮ
ПАРАЛЛЕЛЬНОЕ ВКЛЮЧЕНИЕ
При построении систем распределенного питания электронных устройств DC/DC-преобразователи
иногда необходимо включать параллельно. Параллельное включение модулей
применяется для увеличения выходной мощности или построения систем
резервирования питания. Источники питания PEAK electronics не имеет
встроенной функции параллельного включения, поэтому на выходе каждого из
модулей питания нужно установить дополнительный диод (см. рис. 2). При
необходимости можно использовать отдельные предохранители на входе
каждого модуля, чтобы исключить возникновение короткого замыкания по
входу.
Рис. 2. Схема
параллельного включения DC/DC-преобразователей
ПОСЛЕДОВАТЕЛЬНОЕ ВКЛЮЧЕНИЕ
Последовательное включение применяется для увеличения выходного
напряжения. Типичная схема последовательного включения приведена на
рисунке 3.
Рис. 3. Схема
последовательного включения DC/DC-преобразователей
ДИСТАНЦИОННОЕ ВКЛЮЧЕНИЕ
Функция дистанционного включения позволяет включать и выключать выходное
напряжение DC/DC-преобразователя. Эта функция востребована в устройствах
с резервным питанием, либо в устройствах, где важна последовательность
включения отдельных модулей. Типичная схема дистанционного включения
мощного DC/DC-преобразователя PEAK приведена на рисунке 4.
Рис. 4. Схема
дистанционного включения/выключения DC/DC-преобразователя
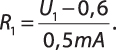
При подаче высокого уровня сигнала, например, 5 В, источник питания
находится в состоянии «выключено», а при низком уровне 0 В источник
питания находится в состоянии «включено». В качестве транзистора VT1
можно применить BC817 или BC639, резистор
рассчитывается по формуле.
ПОДСТРОЙКА ВЫХОДНОГО НАПРЯЖЕНИЯ
У модулей питания серий P30WG, PH30YG, PH40XG, PH40ZG, PH60ZG, PH75ZG
есть встроенная функция подстройки выходного напряжения. Она применяется
для получения нестандартного значения выходного напряжения, а также для
компенсации падения напряжения на подводящих проводах в случае
удаленности конечного потребителя (нагрузки) от источника питания.
Диапазон подстройки выходного напряжения составляет ±10% от номинального
значения. Для осуществления регулировки выходного напряжения необходимо
подключить внешний переменный резистор между выводами «TRIM» и «+Uвых»,
если нужно увеличить выходное напряжение или между «TRIM» и «-Uвых» в
случае уменьшения выходного напряжения (см. рис. 5).

Рис. 5. Схемы
подстройки выходного напряжения DC/DC-преобразователя: а)
понижение Uвых, б) повышение Uвых
Номинал переменного резистора выбирается по фирменному техническому
описанию DC/DC-преобразователя в зависимости от номинала выходного
напряжения.
ДИСТАНЦИОННЫЙ КОНТРОЛЬ ВЫХОДНОГО НАПРЯЖЕНИЯ
Самые мощные источники питания PH40ZG (40 Вт), PH60ZG (60 Вт), PH75ZG
(75 Вт) могут осуществлять дистанционный контроль выходного напряжения.
Эта опция необходима для компенсации падения напряжения на проводах,
если нагрузка удалена от источника питания. Для реализации этой опции
нужно подключить выносную обратную связь. Она подключается при помощи
витой пары тонких сигнальных проводов непосредственно к нагрузке и к
выводам «+Sense» и «-Sense» модуля питания согласно схеме на рис. 6.
Рис. 6. Схема
подключения выносной обратной связи DC/DC-преобразователя
Если в системе питания нет необходимости в применении выносной обратной
связи, вывод «+Sense» нужно замкнуть на вывод «+Uвых», а вывод «-Sense» -
на вывод «-Uвых».
ВХОДНОЙ И ВЫХОДНОЙ ФИЛЬТРЫ
DC/DC-преобразователи PK20VG, P30WG, PH30YG, PH40XG, PH40ZG, PH60ZG,
PH75ZG имеют встроенные входной и выходной фильтры. Однако при
построении сложных систем распределенного питания или измерительной
техники иногда приходиться повышать помехоустойчивость системы и
понижать уровень выходных пульсаций преобразователей. Для этого, как
правило, применяются LC-фильтры (см. рис. 7).
Рис. 7. Дополнительные
фильтры на входе и выходе DC/DC-преобразователя
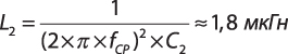
Расчет фильтра нужно начинать с частоты среза, которая выбирается исходя
из основной частоты пульсаций. Для примера рассчитаем выходной фильтр к
источнику питания PH40XG-2405E2:1LF. Основная частота преобразования
составляет 250 кГц. Зададим частоту среза 25 кГц, что составляет 10% от
основной частоты преобразования. Для удобства зададим значение
конденсатора C2 =
22 мкФ, а значение индуктивности L2 можно
вычислить по формуле:
Ближайшее значение индуктивности в номенклатуре компании Sumida: 2,4 мкГн.
В данном случае можно применить катушку индуктивности CDRH10D48/ANP-2R4MC (L2 =
2,4 мкГн) компании Sumida и конденсатор CC1210KKX5R6BB226 (С2 =
22 мкФ*10 В) Yageo